사워 비어를 위한 새로운 박테리아

사워 비어는 초기에 적은 마니아층으로 시작해 수년째 브루잉 산업에서 상승세를 타며 점점 인기가 많아지고 있으며, 소비가 늘어나면서 자연스레 공급과 함께 이 스타일의 양조 공정에 숙련되고자 하는 브루어들의 욕구도 늘어나고 있다. 초기에는 공정에 일정 부분 불확실성이 있었지만, 현재는 맥주의 산도를 완전히 통제할 수 있고 사워링(souring) 과정상의 문제들도 해결할 수 있게 되었다. 그 비결은 단발효성의 젖산 박테리아인 SafSourTM LP 652의 “레종 데트르(raison d’être)”다. 이 박테리아는 맥주의 맥아즙을 깨끗하게 산화시킬 뿐만 아니라 프루티한 향과 함께 시트러스 함과 트로피컬 한 맛까지 불러내는 점을 높이 사서 퍼멘티스(Fermentis)가 특별히 선정한 박테리아다.
Sour beer style has been on the rise for several years now within the brewing industry, reserved to a group of initiated people at the beginning, the style has become more and more popular with time. With more drinkers come obviously more producers and the desire of brewers to master completely the production process of this beer style. From a process with a share of uncertainty at the beginning, we are now able to control completely the beer acidity and avoid problems during the souring process. It’s the “raison d’être” of our SafSourTM LP 652, a homofermentative lactic acid bacteria. This bacteria has been specifically selected by Fermentis for its ability to cleanly acidify beer wort as well as to deliver fruity flavours with citrussy and tropical notes.

SafSourTM LP 652는 케틀 사워 맥주 레시피에 적합하다. 케틀 사워링(kettle souring)은 맥즙을 산화시키는 공정 중 가장 인기가 많은데, 소독과 냉각을 거쳐 홉이 첨가되지 않은 맥아즙을 산성화하는 과정이다. 만약 홉이 참가된 이후에 피칭(pitching, 박테리아를 투여하는 과정)을 하게 되면 홉에 들어있는 이소알파 산(iso alpha acids)이 박테리아의 배양을 저지하게 된다.
SafSourTM LP 652 is ideal for kettle sour beer recipes. Kettle souring is the most popular process to acidify a wort. It consists of a non-hopped wort acidification after a sterilization and a cooling. Indeed, iso alpha acids present in hops would inhibit bacteria’s growth and its metabolism if you pitch it after hop additions.
우리의 다른 라인업과 유사하게 SafSourTM LP 652은 E2UTM의 인증을 받았다. 즉, 재수화(rehydration)를 거치지 않고도 홉이 첨가되지 않은 맥즙에 바로 박테리아를 피칭할 수 있다는 뜻이다. 이는 전체 공정을 단순화시키며 보장하건대 산성화의 시간이나 감각 프로파일에 있어서 기존에 재수화를 거치는 과정과 차이가 없다.
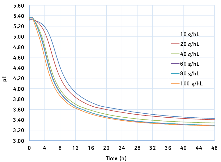
30-40°C (86-104°F)의 온도로 냉각된 12°P 맥즙에 헥토리터당 10g의 박테리아(10g/hL)를 피칭하는 것이 좋다. 이러한 조건에서 최종 pH는 3.2에서 3.6 사이다. 아래의 그림은 박테리아를 더 많이 피칭할 경우 젖산 발효가 더 빨라지고, 더 낮은 pH에 도달하는 것을 보여준다. 양조자는 산도나 젖산발효의 시간을 박테리아 투여량이나 맥즙의 농도를 고려해 조절할 수 있다.
Like many of our products, SafSourTM LP 652 is certified E2UTM, meaning you can pitch the bacteria directly into the non-hopped wort without prior rehydration. It simplifies your work and we guaranty the same results in term of acidification time or organoleptic profile (when compared to prior rehydration).
We recommend to pitch 10g/hL of the bacteria in a cooled 12°P wort at the temperature range of 30 to 40°C (86-104°F). The final pH reached in these conditions will be between 3,2 to 3,6. The figure here under shows that a higher pitching rate, lactic fermentation is performed faster and reach a lower final pH. Brewers may play with the sour level or the lactic fermentation time with the pitching rate and/or the wort density.

퍼멘티스는 우리 제품들의 감각 프로파일을 특성화시키기 위해 맥주 전문가 패널과 함께 일한다. 이 패널은 모든 맥주 관련 프로젝트와 연관된 제품을 측정하고 특성화한다. 퍼멘티스의 맥주 패널은 르사프르(Lesaffre)의 다양한 섹터 출신인 40명의 내부 패널로 이루어져 있다. 이 그룹은 각자의 동기, 업무 가능성, 음용 습관, 건강 등을 분석해 선정되었다. 패널들은 2017년 5월부터는 일주일에 한 시간씩 자원해 맥주의 감각적인 특성들을 분별하고 묘사하는 감각 훈련과 검사를 한다. 패널들은 지금까지 45가지의 맥주 특성들을 훈련받았으며 패널 프로파일링을 위한 일련의 훈련과정을 거쳤다.
To characterize the organoleptic profile of our products, Fermentis works with a beer expert panel. The panel aim to function as an instrument, able to measure and characterize each product coming from projects related to beer. Fermentis beer panel consists of 40 internal panelists from different sectors and activities within Lesaffre. The group was selected base on the analysis of their motivation, availability, consumption habits and health conditions. On a voluntary basis, since May 2017, during an hour per week the panel performs sensory trainings and tests to differentiate and to describe sensory attributes in beer. Up to date, they have been trained in 45 beer attributes and performed a set of exercises for a panel profiling and performance.
12°P(Plato, 당도의 단위)의 홉이 첨가되지 않은 맥즙이 각각 피칭율 10g/hL와 100g/h의 SafSourTM LP 652로 산화되었다. 이와 함께 동일한 맥아즙은 젖산 발효가 다른 두 산화된 맥아즙의 향에 끼치는 영향을 확인하기 위한 비교군으로 산화되지 않았다. 그 후에 퍼멘티스 맥주 패널이 이를 평하기 위해 열 가지 단어를 골랐다.
〈Graph 2〉는 명확하게 SafSourTM LP 652의 발효가 감각 프로파일에 큰 영향을 끼친다는 것을 보여준다. 예상대로 산도와 휘발성 산이 증가했지만 전반적인 몰티함(시리얼, 꿀, 단맛 감각)이 맥주에서 줄었다. 이에 더해, 유제품뿐만 아니라 프루티한 감각 또한 증가했다. 피칭율 10g/hL과 100g/hL 사이의 감각 차이는 유의미하지 않았다. 패널들이 묘사한 프루티한 특성은 트로피칼(망고, 패션후르츠)과 시트러스(레몬, 그레이프프루트)였다. SafSourTM LP 652의 두 피칭율 사이에 감각 차이가 유의미하지 않았기 때문에 더 많은 양을 피칭하는 것은 확실하게 최종 산성도와 산성화 시간을 줄임에도 감각적인 영향을 주지 않을 것이다.
A 12°P non-hopped wort were respectively acidified with a dose rate of 10 g/hL or 100 g/hL with SafSourTM LP 652. In parallel an identical wort was not acidified in order to evaluate blindly the aromatic impact of the lactic fermentation of the two acidified wort. Fermentis beer panel chose ten descriptors to evaluate this.
Clearly the figure on the 〈Graph 2〉 shows SafSourTM LP 652 fermentation hugely impacts the organoleptic profile. It increases acidity and general volatile acidity, as expected, but also decreases the global malty side of the beer (cereal, honey and sweetness perception). In addition, the dairy as well as the fruitiness perception increases. Difference perceptions between 10 and 100 g/hL dosages rate of SafSourTM LP 652 were not significant. The fruity characters described by the panelists were tropical (mango, passion fruit) and citric (lemon, grapefruit) notes. The perception differences between the two dosages of SafSourTM LP 652 are not significant, so pitching more will definitely reduce the final pH and the acidification time but will not have an organoleptic impact.

퍼멘티스
About Fermentis
퍼멘티스는 2003년에 르사프르의 사업 단위로 만들어졌다. 미션은 전세계의 맥주, 와인, 스피릿을 포함한 음용 주류 산업에서 사용될 혁신적이고 고품질의 제품들을 생산하고 마케팅하는 것이다.
Fermentis was created in 2003 as a business unit of Lesaffre with the mission to develop & market innovative and qualitative products and services for the beer, wine, spirits and all other potable alcohol industries worldwide.